Официальное опубликование правовых актов
ОФИЦИАЛЬНОЕ ОПУБЛИКОВАНИЕ
Приказ Министерства природных ресурсов и экологии Иркутской области от 21.12.2018 № 69-мпр
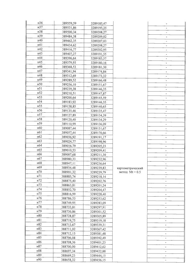
"Об установлении местоположения береговой линии, границ водоохранных зон и прибрежных защитных полос на реках Китой, Тойсук, Ода, Еловка, Малая Еловка, Молька, Ангара, Мегет в пределах населенных пунктов Чебогоры, Якимовка, Ивановка, Савватеевка, Звездочка, Ангарск, Новоодинск, Зуй, Мегет, Ударник, Стеклянка, Ключевая, Зверево Ангарского района"
Номер опубликования: 3801201812270066
Дата опубликования: 27.12.2018
Страница №683 из 792:
Увеличить