Официальное опубликование правовых актов
ОФИЦИАЛЬНОЕ ОПУБЛИКОВАНИЕ
Приказ Министерства природных ресурсов и экологии Иркутской области от 21.12.2018 № 73-мпр
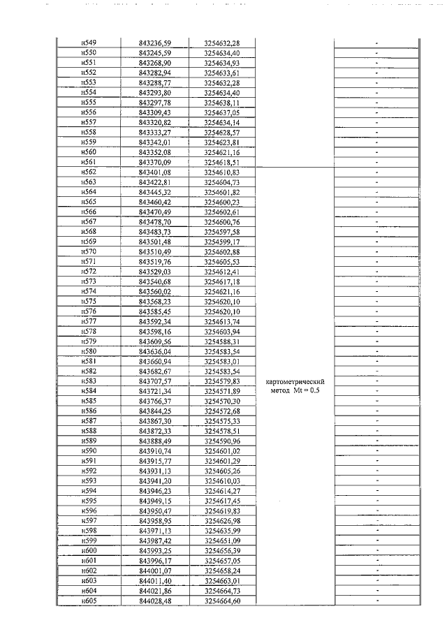
"Об установлении местоположения береговой линии, границ водоохранных зон и прибрежных защитных полос на реках Купа, Мука, Домашняя Рассоха, Черная, Видим, Мельничная, Ближняя речка, Кузнецова, Рассошка, ручья Покосный в пределах населенных пунктов Семигорск, поселок при станции Мерзлотная, Соцгородок, Участок Сохатый, Видим, Каймановский, Чистополянский, Железногорск-Илимск, поселок при станции Черная, Рудногорск Нижнеилимского района"
Номер опубликования: 3801201812260031
Дата опубликования: 26.12.2018
Страница №69 из 696:
Увеличить