Официальное опубликование правовых актов
ОФИЦИАЛЬНОЕ ОПУБЛИКОВАНИЕ
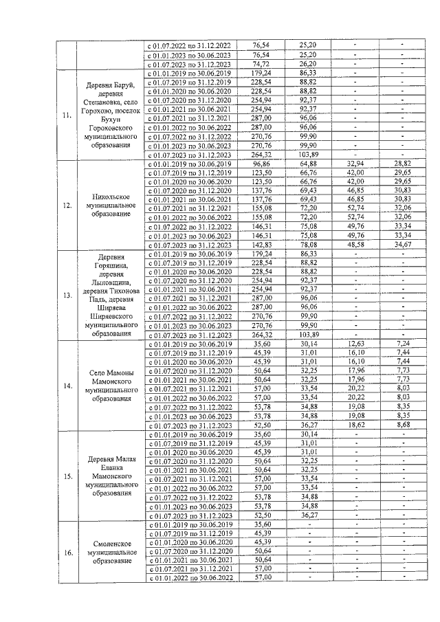
Приказ службы по тарифам Иркутской области от 18.12.2018 № 389-спр
"Об установлении долгосрочных тарифов на питьевую воду и водоотведение для потребителей ООО "Южнобайкальское" на территории Иркутского района (ИНН 3848006527)"
Номер опубликования: 3801201812180022
Дата опубликования: 18.12.2018
Страница №5 из 10:
Увеличить