Официальное опубликование правовых актов
ОФИЦИАЛЬНОЕ ОПУБЛИКОВАНИЕ
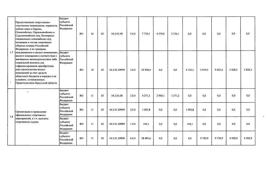
Приказ Министерства спорта Иркутской области от 16.11.2018 № 91-мпр
"О внесении изменений в ведомственную целевую программу "Подготовка спортсменов высокого класса" на 2014-2020 годы"
Номер опубликования: 3801201811210006
Дата опубликования: 21.11.2018
Страница №12 из 13:
Увеличить