Официальное опубликование правовых актов
ОФИЦИАЛЬНОЕ ОПУБЛИКОВАНИЕ
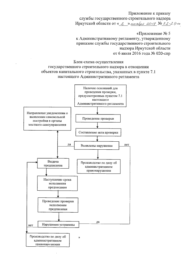
Приказ службы государственного строительного надзора Иркутской области от 02.11.2018 № 72-29-спр
"О внесении изменений в Административный регламент службы государственного строительного надзора Иркутской области по исполнению государственной функции "Осуществление регионального государственного строительного надзора", утвержденный приказом службы государственного строительного надзора Иркутской области от 6 июля 2016 года № 020-спр"
Номер опубликования: 3801201811060007
Дата опубликования: 06.11.2018
Страница №11 из 11:
Увеличить