Официальное опубликование правовых актов
ОФИЦИАЛЬНОЕ ОПУБЛИКОВАНИЕ
Приказ Министерства природных ресурсов и экологии Иркутской области от 23.10.2018 № 58-мпр
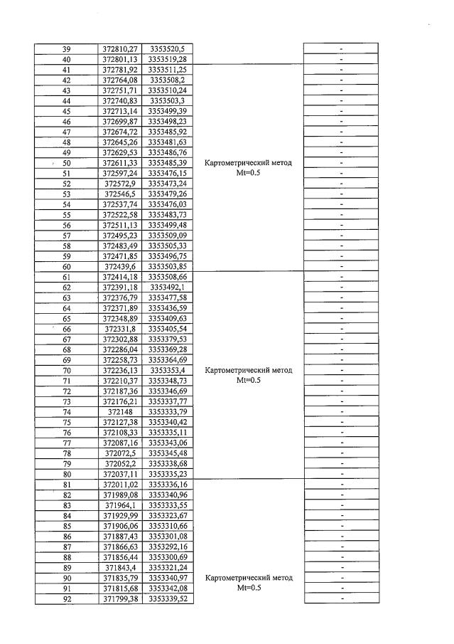
"Об установлении границ береговой линии, водоохранных зон и прибрежных защитных полос на реках Иркут, Олха, Балей, Карчеган, Ангара, Ирей, Еловка, Мха, ручей без названия, Худяково, руч. Горячий, Ушаковка, Коралок, Мостовая, Уладова, Большая, Бурдаковка, Поливаниха, Крестовка, Бажковская, Куда, Долога, Васина, Талька, Солянка, Поперечная в пределах населенных пунктов Максимовщина, Смоленщина, Усть-Балей, Быково, Зорино-Быково, Еловка, Усть-Куда, Худяково, Горячий Ключ, Добролет, Первомайский, Дзержинск, Пивовариха, Лебединка, Большая речка, Бурдаковка, заимка Поливаниха, Листвянка, Карлук, Куда, Талька, Плишкино Иркутского района"
Номер опубликования: 3801201811010025
Дата опубликования: 01.11.2018
Страница №549 из 640:
Увеличить