Официальное опубликование правовых актов
ОФИЦИАЛЬНОЕ ОПУБЛИКОВАНИЕ
Приказ Министерства природных ресурсов и экологии Иркутской области от 23.10.2018 № 56-мпр
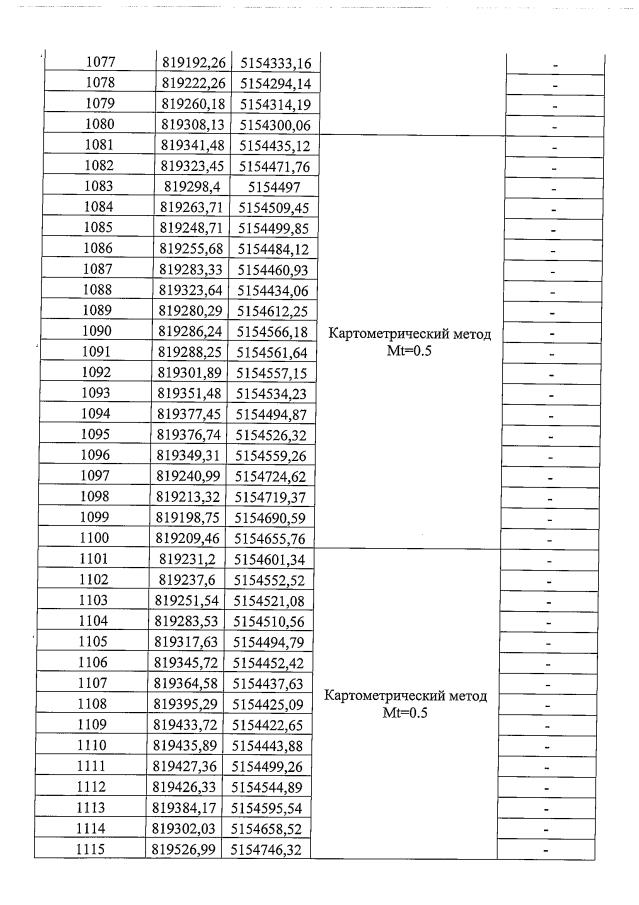
"Об установлении границ береговой линии, водоохранных зон и прибрежных защитных полос на реках Киренга, Берая, Юхта, Улькан, Кунерма, Поповка, Ния, рч.Васильевский и оз.Кривое в пределах населенных пунктов Казачинское, Ключи, Магистральный, Конец-Луг, Окунайский, Улькан, Кунерма, Карнаухово, Ермаки, Небель, Нижнемартыново, Верхнемартыново, Тарасово, Новоселова Казачинско-Ленского района"
Номер опубликования: 3801201810260022
Дата опубликования: 26.10.2018
Страница №402 из 453:
Увеличить