Официальное опубликование правовых актов
ОФИЦИАЛЬНОЕ ОПУБЛИКОВАНИЕ
Приказ Министерства природных ресурсов и экологии Иркутской области от 23.10.2018 № 57-мпр
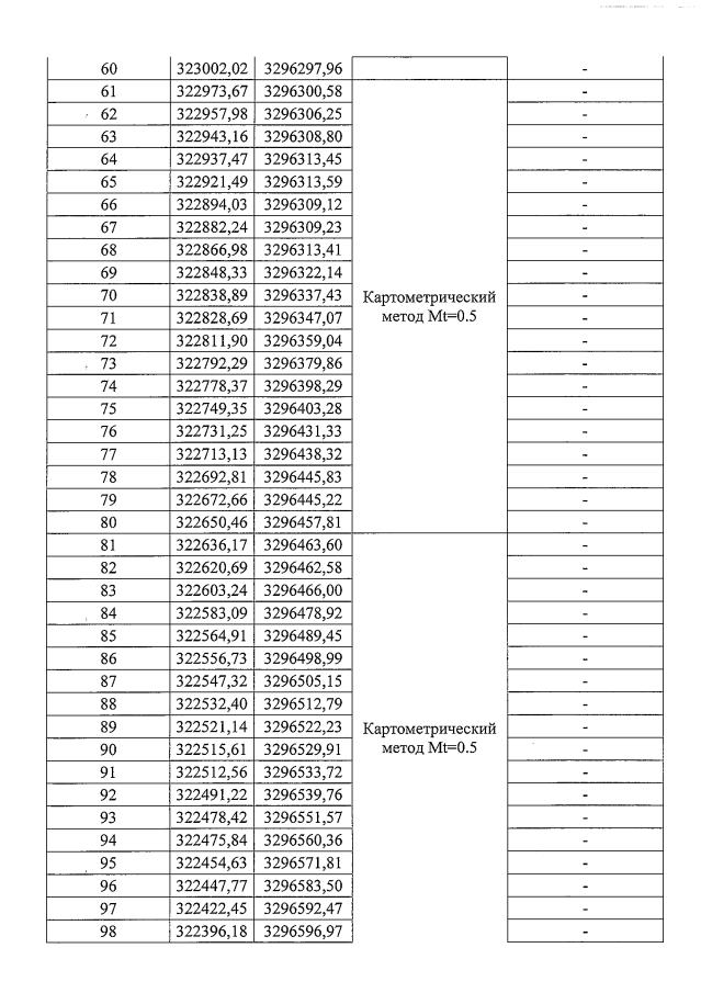
"Об установлении границ береговой линии, водоохранных зон и прибрежных защитных полос на реках Иркут, Большая Быстрая, Маритуй, Шумиха, Падь, Большая, Малая Крутая Губа, Большая Понамаревка, Снежная, Хара-Мурин, Паньковка, Утулик, Бабха, безымянная, Большая Куркавочная, Тугунчиха, Медлянка, Култучная, Левая Ангасолка, Правая Ангасолка, Слюдянка, Похабиха, Талая, руч. Сухой, Сухой Лог, Буровщина в пределах населенных пунктов Быстрая, Тибельти, Маритуй, Большая Шумиха, Уланово, Половинная, Шаражалгай, Понамаревка, Новоснежная, Мурино, Паньковка 1-ая, Утулик, Бабха, Мангутай, Орехово, Култук, Ангасольская, ж/д станция Андрияновская, ж/д станция Ангасольская, Слюдянка, Сухой Ручей, Буровщина Слюдянского района"
Номер опубликования: 3801201810260007
Дата опубликования: 26.10.2018
Страница №69 из 536:
Увеличить