Официальное опубликование правовых актов
ОФИЦИАЛЬНОЕ ОПУБЛИКОВАНИЕ
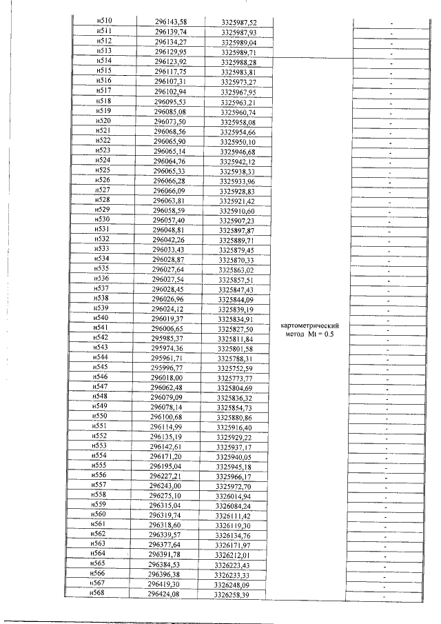
Приказ Министерства природных ресурсов и экологии Иркутской области от 20.04.2018 № 22-мпр
"О внесении изменений в приказ об установлении границ береговой линии, водоохранных зон и прибрежных защитных полос на реках Солзан и Харлахта в пределах города Байкальска Слюдянского района"
Номер опубликования: 3801201804280011
Дата опубликования: 28.04.2018
Страница №36 из 51:
Увеличить