Официальное опубликование правовых актов
ОФИЦИАЛЬНОЕ ОПУБЛИКОВАНИЕ
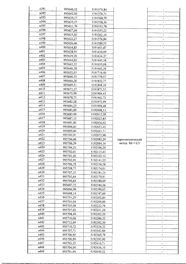
Приказ Министерства природных ресурсов и экологии Иркутской области от 20.04.2018 № 23-мпр
"О внесении изменений в приказ об установлении границ береговой линии, водоохранных зон и прибрежных защитных полос на реке Лена в пределах населенных пунктов Киренск, Кривошапкино, Петропавловск, Макарово, Алымовка, Кривая Лука Киренского района"
Номер опубликования: 3801201804280009
Дата опубликования: 28.04.2018
Страница №31 из 42:
Увеличить