Официальное опубликование правовых актов
ОФИЦИАЛЬНОЕ ОПУБЛИКОВАНИЕ
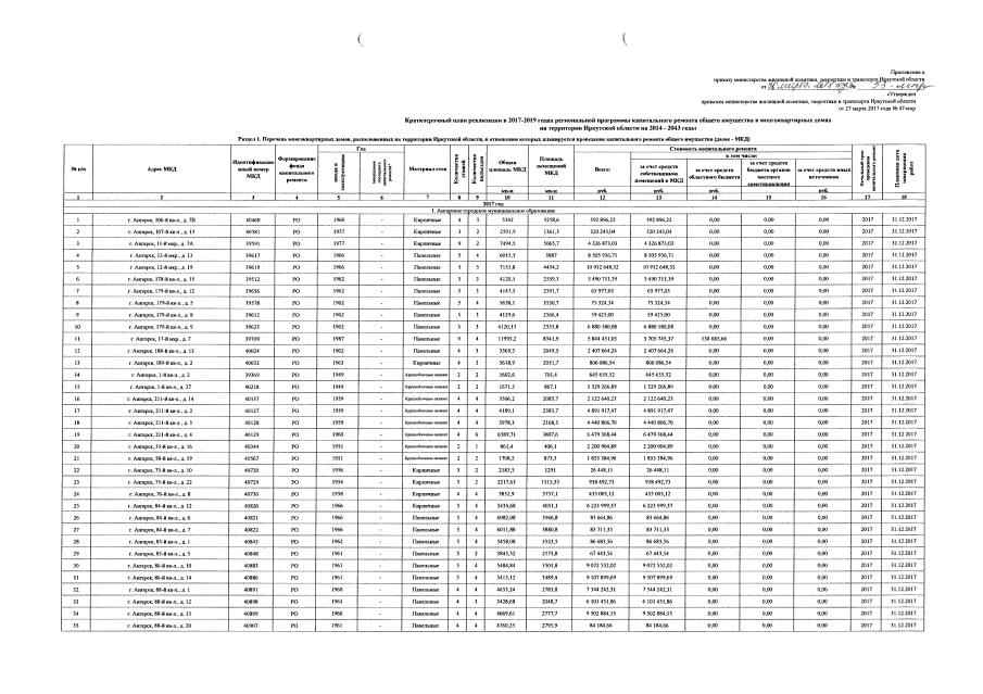
Приказ Министерства жилищной политики, энергетики и транспорта Иркутской области от 30.03.2018 № 53-мпр
"О внесении изменения в приказ министерства жилищной политики, энергетики и транспорта Иркутской области от 27 марта 2017 года № 47-мпр"
Номер опубликования: 3801201804060006
Дата опубликования: 06.04.2018
Страница №2 из 63:
Увеличить