Официальное опубликование правовых актов
ОФИЦИАЛЬНОЕ ОПУБЛИКОВАНИЕ
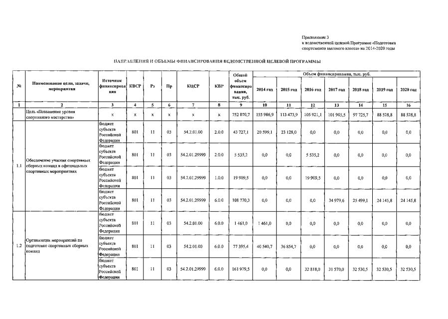
Приказ Министерства спорта Иркутской области от 30.03.2018 № 24-мпр
"О внесении изменений в ведомственную целевую программу "Подготовка спортсменов высокого класса" на 2014-2020 годы"
Номер опубликования: 3801201804050002
Дата опубликования: 05.04.2018
Страница №8 из 13:
Увеличить