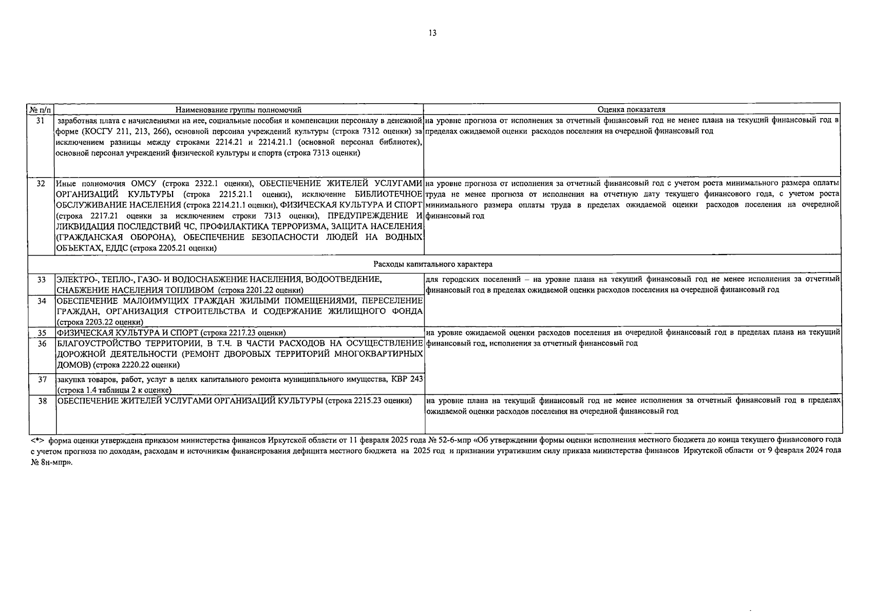
Постановление Правительства Иркутской области от 17.11.2025 № 895-пп
"О внесении изменения в Порядок определения показателей, используемых для расчета части субвенций для осуществления государственных полномочий по расчету и предоставлению дотаций на выравнивание бюджетной обеспеченности поселений, входящих в состав муниципального района Иркутской области, бюджетам поселений за счет средств областного бюджета, определяемой исходя из расчетной обеспеченности бюджетов поселений, входящих в состав муниципального района Иркутской области, финансовыми средствами для исполнения расходных обязательств поселений"
"О внесении изменения в Порядок определения показателей, используемых для расчета части субвенций для осуществления государственных полномочий по расчету и предоставлению дотаций на выравнивание бюджетной обеспеченности поселений, входящих в состав муниципального района Иркутской области, бюджетам поселений за счет средств областного бюджета, определяемой исходя из расчетной обеспеченности бюджетов поселений, входящих в состав муниципального района Иркутской области, финансовыми средствами для исполнения расходных обязательств поселений"
Номер опубликования: 3800202511190001
Дата опубликования:
19.11.2025
