Официальное опубликование правовых актов
ОФИЦИАЛЬНОЕ ОПУБЛИКОВАНИЕ
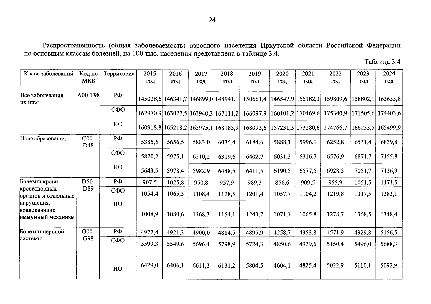
Постановление Правительства Иркутской области от 19.08.2025 № 687-пп
"Об утверждении региональной программы Иркутской области "Оптимальная для восстановления здоровья медицинская реабилитация" федерального проекта "Оптимальная для восстановления здоровья медицинская реабилитация" национального проекта "Продолжительная и активная жизнь" на 2025-2030 годы"
Номер опубликования: 3800202508220002
Дата опубликования: 22.08.2025
Страница №25 из 159:
Увеличить