Официальное опубликование правовых актов
ОФИЦИАЛЬНОЕ ОПУБЛИКОВАНИЕ
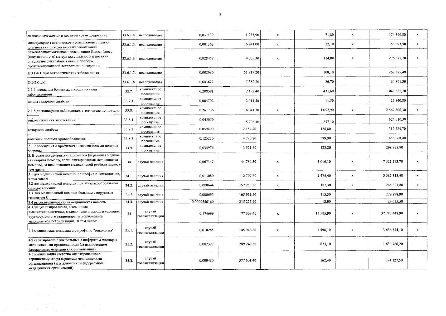
Постановление Правительства Иркутской области от 31.07.2025 № 643-пп
"О внесении изменений в Территориальную программу государственных гарантий бесплатного оказания гражданам медицинской помощи в Иркутской области на 2025 год и на плановый период 2026 и 2027 годов"
Номер опубликования: 3800202508050005
Дата опубликования: 05.08.2025
Страница №31 из 49:
Увеличить