Официальное опубликование правовых актов
ОФИЦИАЛЬНОЕ ОПУБЛИКОВАНИЕ
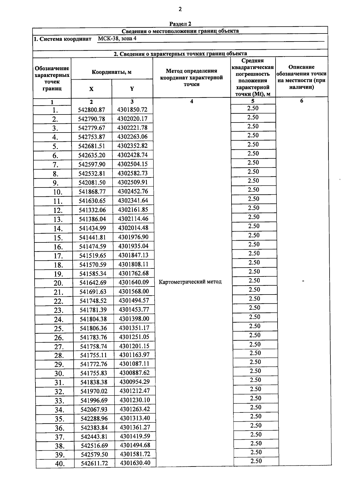
Указ Губернатора Иркутской области от 08.07.2025 № 202-уг
"Об охранной зоне памятника природы регионального значения "Пещера Аргараканская"
Номер опубликования: 3800202507090004
Дата опубликования: 09.07.2025
Страница №3 из 9:
Увеличить