Официальное опубликование правовых актов
ОФИЦИАЛЬНОЕ ОПУБЛИКОВАНИЕ
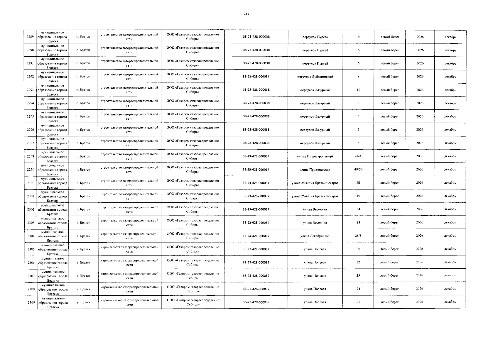
Постановление Правительства Иркутской области от 16.06.2025 № 508-пп
"О внесении изменения в региональную программу газификации жилищно-коммунального хозяйства, промышленных и иных организаций Иркутской области на 2024 - 2033 годы"
Номер опубликования: 3800202506160001
Дата опубликования: 16.06.2025
Страница №152 из 494:
Увеличить