Официальное опубликование правовых актов
ОФИЦИАЛЬНОЕ ОПУБЛИКОВАНИЕ
Постановление Правительства Иркутской области от 24.04.2025 № 384-пп
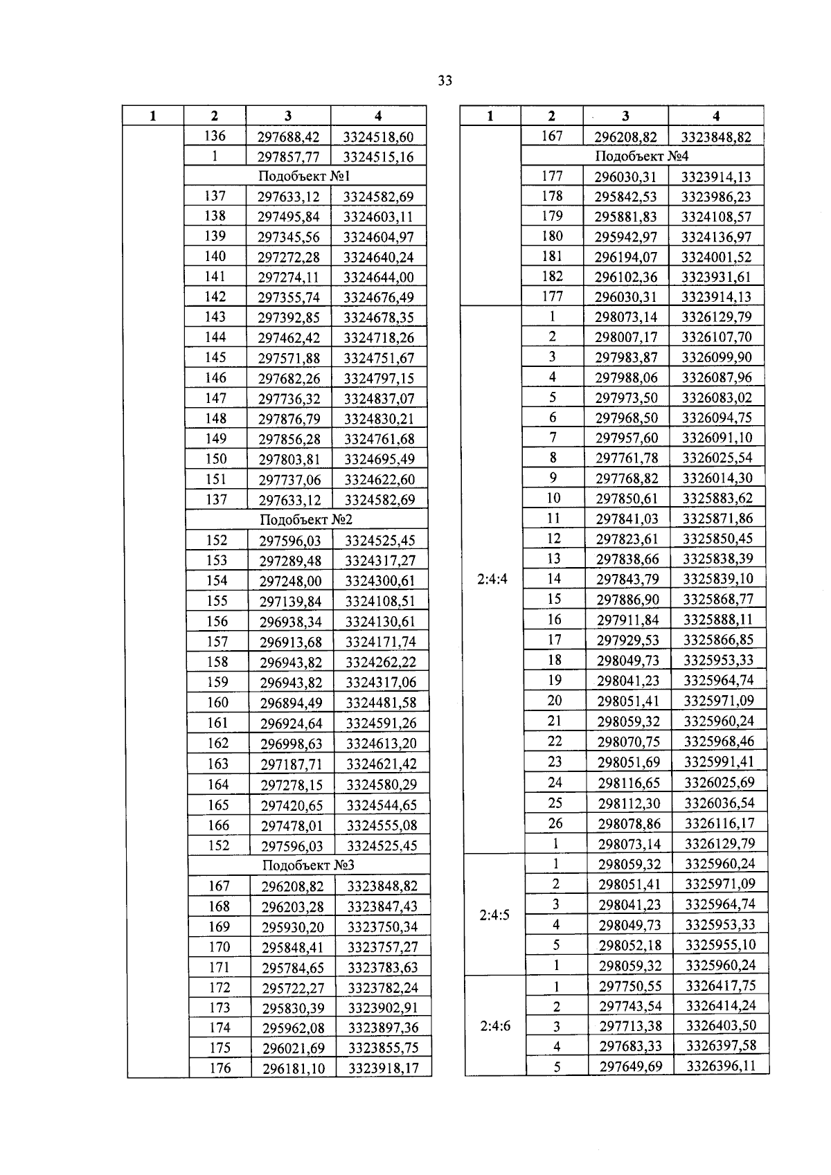
"О внесении изменения в проект планировки территории и проект межевания территории особой экономической зоны туристско-рекреационного типа, созданной на территории муниципального образования Слюдянский район Иркутской области"
Номер опубликования: 3800202504250009
Дата опубликования: 25.04.2025
Страница №84 из 105:
Увеличить