Официальное опубликование правовых актов
ОФИЦИАЛЬНОЕ ОПУБЛИКОВАНИЕ
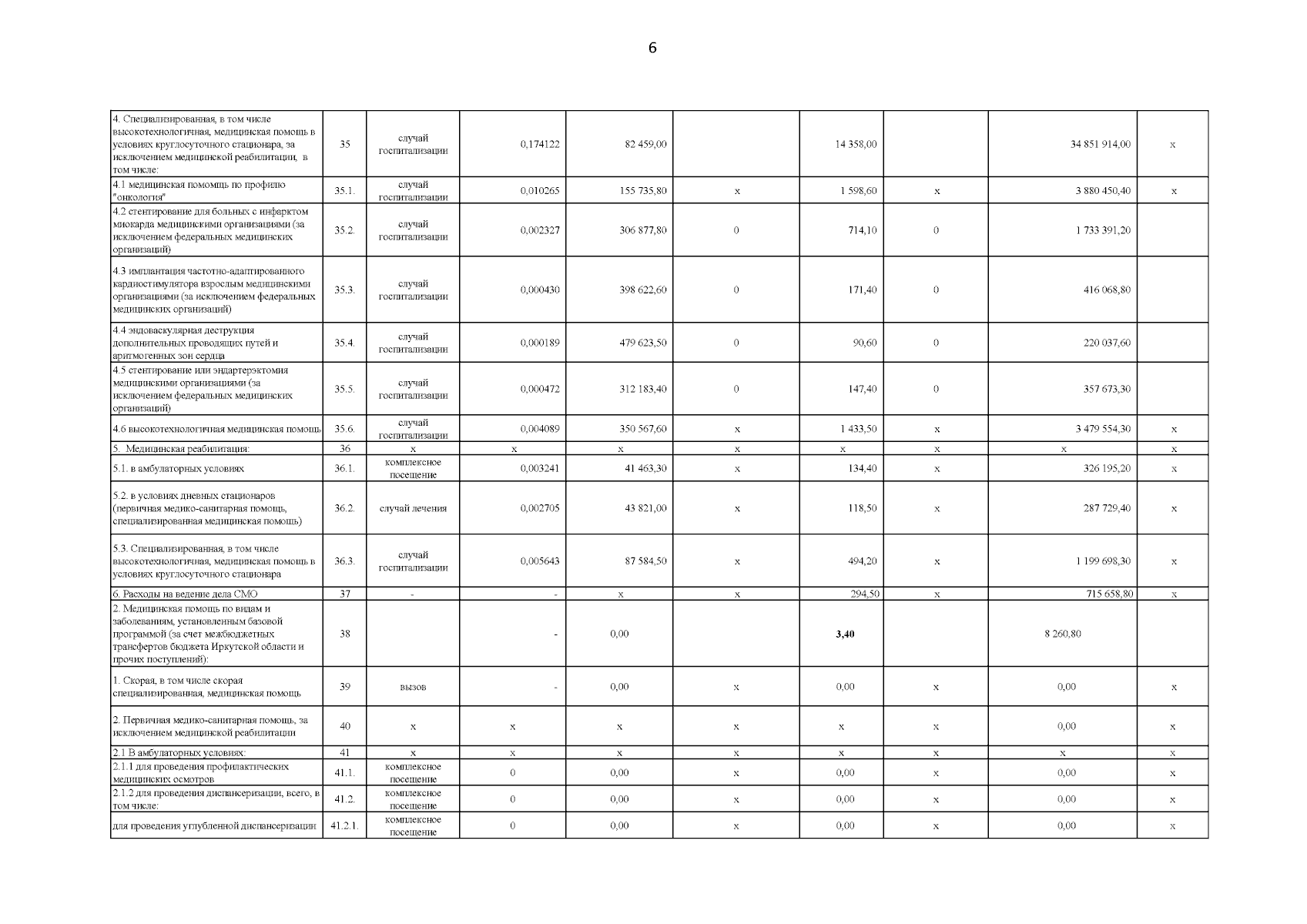
Постановление Правительства Иркутской области от 18.04.2025 № 369-пп
"О внесении изменений в Территориальную программу государственных гарантий бесплатного оказания гражданам медицинской помощи в Иркутской области на 2025 год и на плановый период 2026 и 2027 годов"
Номер опубликования: 3800202504210013
Дата опубликования: 21.04.2025
Страница №101 из 109:
Увеличить