Официальное опубликование правовых актов
ОФИЦИАЛЬНОЕ ОПУБЛИКОВАНИЕ
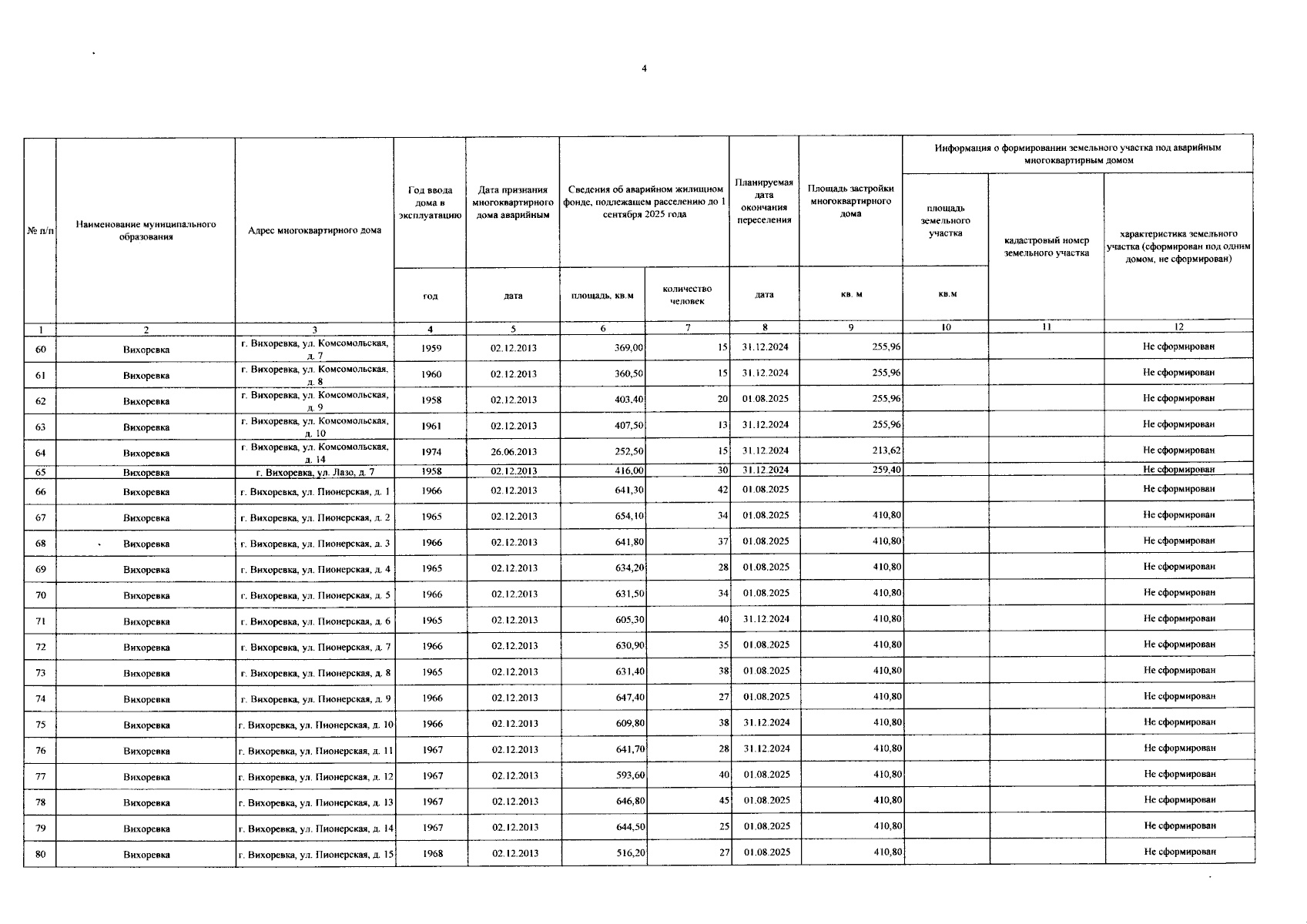
Постановление Правительства Иркутской области от 18.03.2025 № 261-пп
"О внесении изменения в региональную адресную программу Иркутской области "Переселение граждан, проживающих на территории Иркутской области, из аварийного жилищного фонда, признанного таковым до 1 января 2017 года, в 2019 - 2025 годах"
Номер опубликования: 3800202503200004
Дата опубликования: 20.03.2025
Страница №22 из 83:
Увеличить