Официальное опубликование правовых актов
ОФИЦИАЛЬНОЕ ОПУБЛИКОВАНИЕ
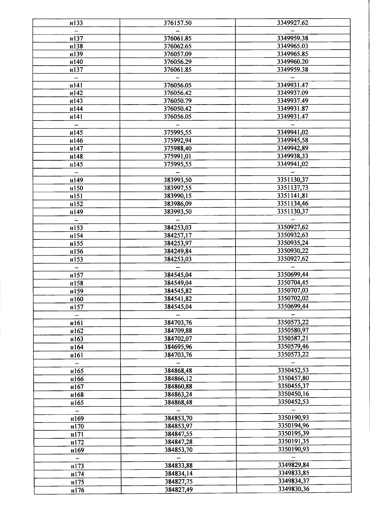
Постановление Правительства Иркутской области от 24.02.2025 № 161-пп
"Об установлении публичного сервитута"
Номер опубликования: 3800202502280003
Дата опубликования: 28.02.2025
Страница №10 из 53:
Увеличить