Официальное опубликование правовых актов
ОФИЦИАЛЬНОЕ ОПУБЛИКОВАНИЕ
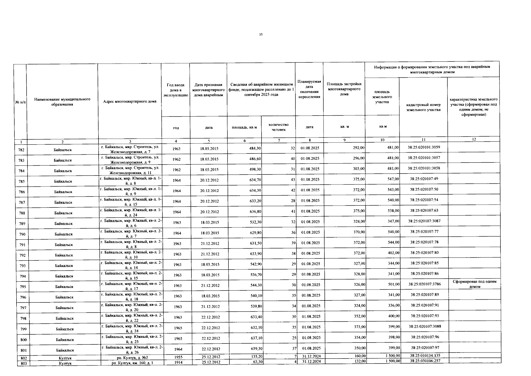
Постановление Правительства Иркутской области от 25.12.2024 № 1117-пп
"О внесении изменения в региональную адресную программу Иркутской области "Переселение граждан, проживающих на территории Иркутской области, из аварийного жилищного фонда, признанного таковым до 1 января 2017 года, в 2019 - 2025 годах"
Номер опубликования: 3800202412280035
Дата опубликования: 28.12.2024
Страница №53 из 80:
Увеличить