Постановление Правительства Иркутской области от 16.12.2024 № 1028-пп
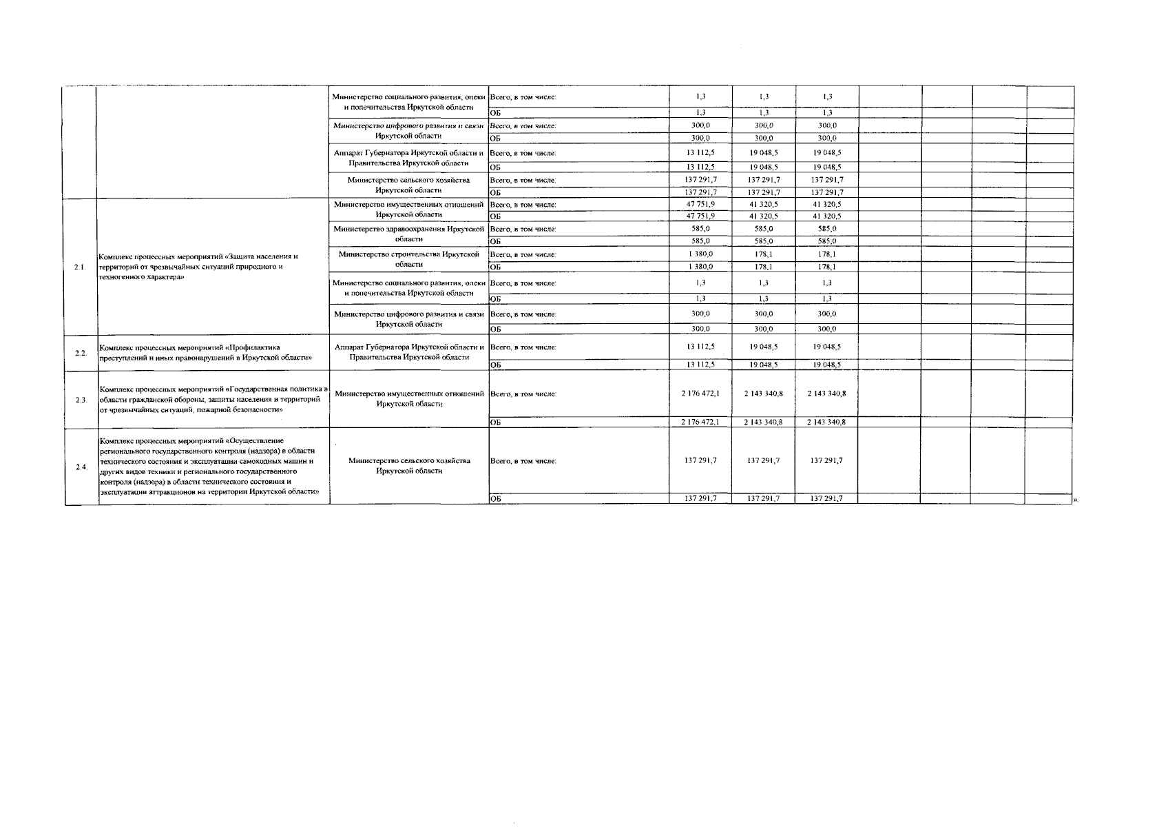
"О внесении изменений в таблицы 1, 2, 4 раздела II "ПАСПОРТ ГОСУДАРСТВЕННОЙ ПРОГРАММЫ ИРКУТСКОЙ ОБЛАСТИ "ЗАЩИТА НАСЕЛЕНИЯ И ТЕРРИТОРИЙ ОТ ЧРЕЗВЫЧАЙНЫХ СИТУАЦИЙ ПРИРОДНОГО И ТЕХНОГЕННОГО ХАРАКТЕРА, ОБЕСПЕЧЕНИЕ ПОЖАРНОЙ БЕЗОПАСНОСТИ" государственной программы Иркутской области "Защита населения и территорий от чрезвычайных ситуаций природного и техногенного характера, обеспечение пожарной безопасности"
"О внесении изменений в таблицы 1, 2, 4 раздела II "ПАСПОРТ ГОСУДАРСТВЕННОЙ ПРОГРАММЫ ИРКУТСКОЙ ОБЛАСТИ "ЗАЩИТА НАСЕЛЕНИЯ И ТЕРРИТОРИЙ ОТ ЧРЕЗВЫЧАЙНЫХ СИТУАЦИЙ ПРИРОДНОГО И ТЕХНОГЕННОГО ХАРАКТЕРА, ОБЕСПЕЧЕНИЕ ПОЖАРНОЙ БЕЗОПАСНОСТИ" государственной программы Иркутской области "Защита населения и территорий от чрезвычайных ситуаций природного и техногенного характера, обеспечение пожарной безопасности"
Номер опубликования: 3800202412250009
Дата опубликования:
25.12.2024
