Официальное опубликование правовых актов
ОФИЦИАЛЬНОЕ ОПУБЛИКОВАНИЕ
Указ Губернатора Иркутской области от 18.12.2024 № 465-уг
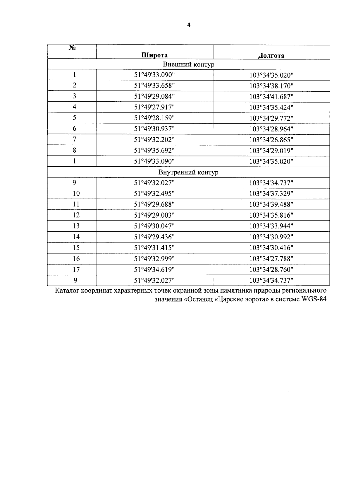
"Об охранной зоне памятника природы регионального значения "Останец "Царские ворота"
Номер опубликования: 3800202412200013
Дата опубликования: 20.12.2024
Страница №5 из 8:
Увеличить