Официальное опубликование правовых актов
ОФИЦИАЛЬНОЕ ОПУБЛИКОВАНИЕ
Постановление Правительства Иркутской области от 05.12.2024 № 972-пп
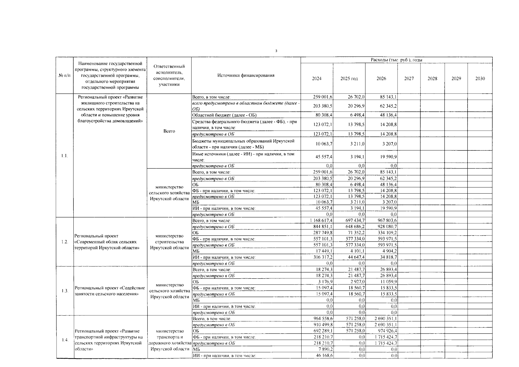
"О внесении изменения в таблицу 4 раздела II "ПАСПОРТ ГОСУДАРСТВЕННОЙ ПРОГРАММЫ ИРКУТСКОЙ ОБЛАСТИ "КОМПЛЕКСНОЕ РАЗВИТИЕ СЕЛЬСКИХ ТЕРРИТОРИЙ" государственной программы Иркутской области "Комплексное развитие сельских территорий"
Номер опубликования: 3800202412090002
Дата опубликования: 09.12.2024
Страница №4 из 5:
Увеличить