Официальное опубликование правовых актов
ОФИЦИАЛЬНОЕ ОПУБЛИКОВАНИЕ
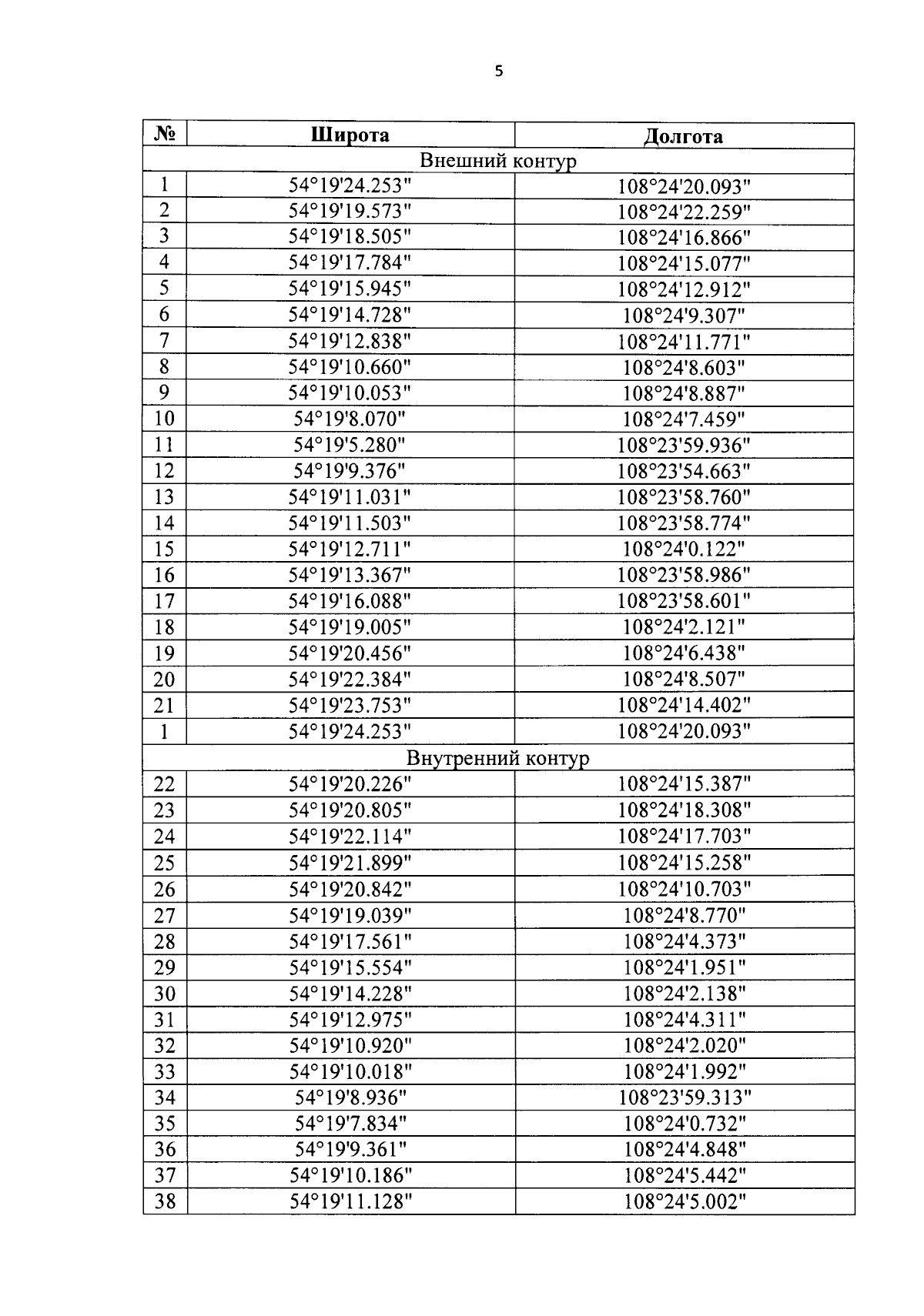
Указ Губернатора Иркутской области от 01.10.2024 № 364-уг
"Об охранной зоне памятника природы регионального значения "Водопад на реке Заворотницкой"
Номер опубликования: 3800202410040007
Дата опубликования: 04.10.2024
Страница №6 из 11:
Увеличить