Официальное опубликование правовых актов
ОФИЦИАЛЬНОЕ ОПУБЛИКОВАНИЕ
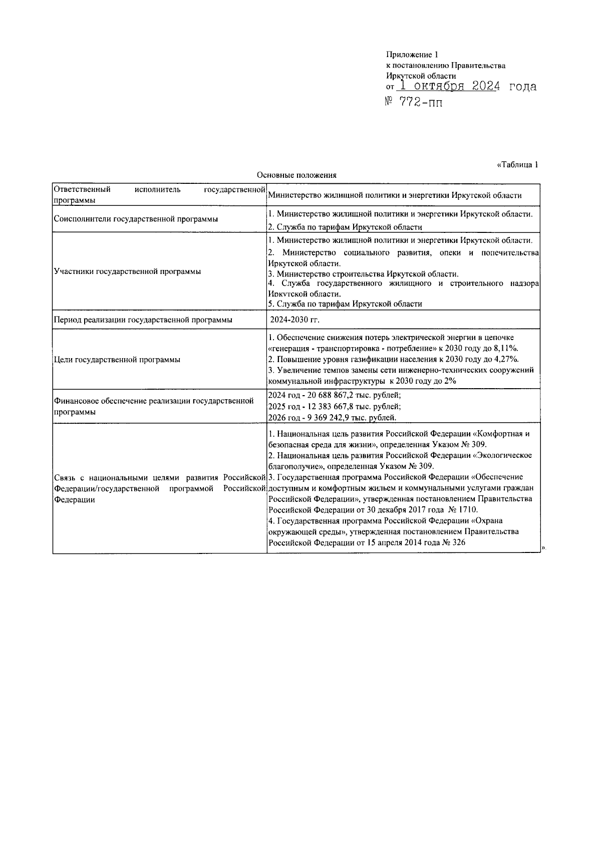
Постановление Правительства Иркутской области от 01.10.2024 № 772-пп
"О внесении изменений в таблицы 1, 4 раздела II "ПАСПОРТ ГОСУДАРСТВЕННОЙ ПРОГРАММЫ ИРКУТСКОЙ ОБЛАСТИ "РАЗВИТИЕ ЖИЛИЩНО-КОММУНАЛЬНОГО ХОЗЯЙСТВА И ПОВЫШЕНИЕ ЭНЕРГОЭФФЕКТИВНОСТИ ИРКУТСКОЙ ОБЛАСТИ" государственной программы Иркутской области "Развитие жилищно-коммунального хозяйства и повышение энергоэффективности Иркутской области"
Номер опубликования: 3800202410030009
Дата опубликования: 03.10.2024
Страница №2 из 8:
Увеличить