Постановление Правительства Иркутской области от 20.08.2024 № 645-пп
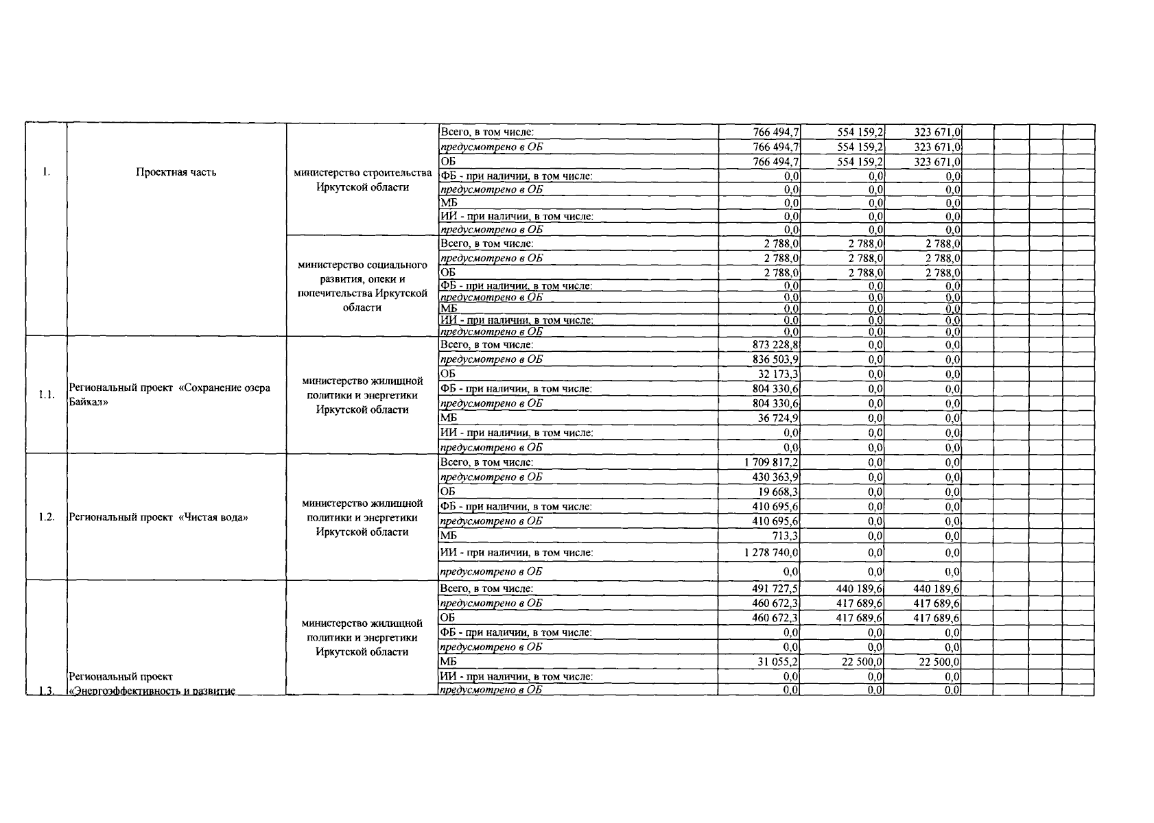
"О внесении изменений в таблицы 1, 4 раздела II "ПАСПОРТ ГОСУДАРСТВЕННОЙ ПРОГРАММЫ ИРКУТСКОЙ ОБЛАСТИ "РАЗВИТИЕ ЖИЛИЩНО-КОММУНАЛЬНОГО ХОЗЯЙСТВА И ПОВЫШЕНИЕ ЭНЕРГОЭФФЕКТИВНОСТИ ИРКУТСКОЙ ОБЛАСТИ" государственной программы Иркутской области "Развитие жилищно-коммунального хозяйства и повышение энергоэффективности Иркутской области"
"О внесении изменений в таблицы 1, 4 раздела II "ПАСПОРТ ГОСУДАРСТВЕННОЙ ПРОГРАММЫ ИРКУТСКОЙ ОБЛАСТИ "РАЗВИТИЕ ЖИЛИЩНО-КОММУНАЛЬНОГО ХОЗЯЙСТВА И ПОВЫШЕНИЕ ЭНЕРГОЭФФЕКТИВНОСТИ ИРКУТСКОЙ ОБЛАСТИ" государственной программы Иркутской области "Развитие жилищно-коммунального хозяйства и повышение энергоэффективности Иркутской области"
Номер опубликования: 3800202408220001
Дата опубликования:
22.08.2024
