Официальное опубликование правовых актов
ОФИЦИАЛЬНОЕ ОПУБЛИКОВАНИЕ
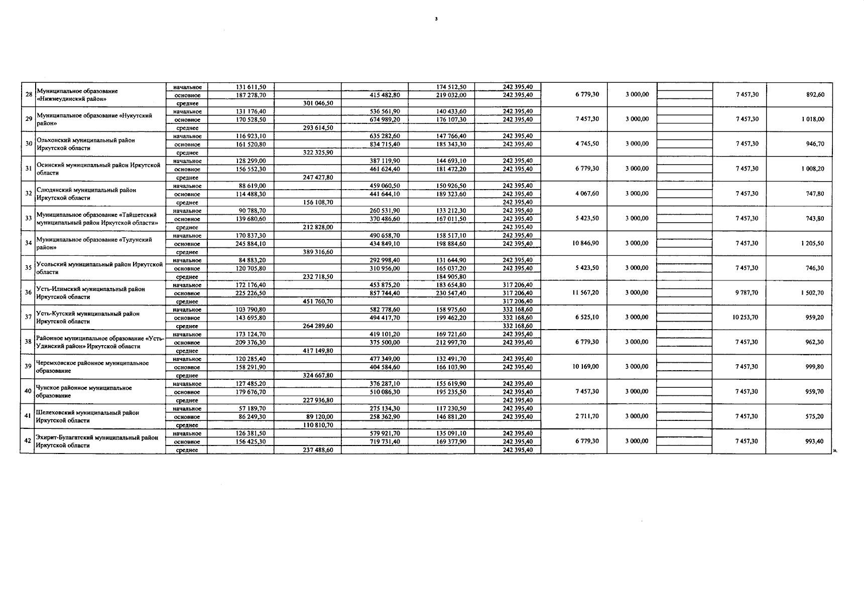
Постановление Правительства Иркутской области от 28.05.2024 № 419-пп
"О внесении изменений в постановление Правительства Иркутской области от 13 июля 2023 года № 591-пп"
Номер опубликования: 3800202405290002
Дата опубликования: 29.05.2024
Страница №26 из 26:
Увеличить