Официальное опубликование правовых актов
ОФИЦИАЛЬНОЕ ОПУБЛИКОВАНИЕ
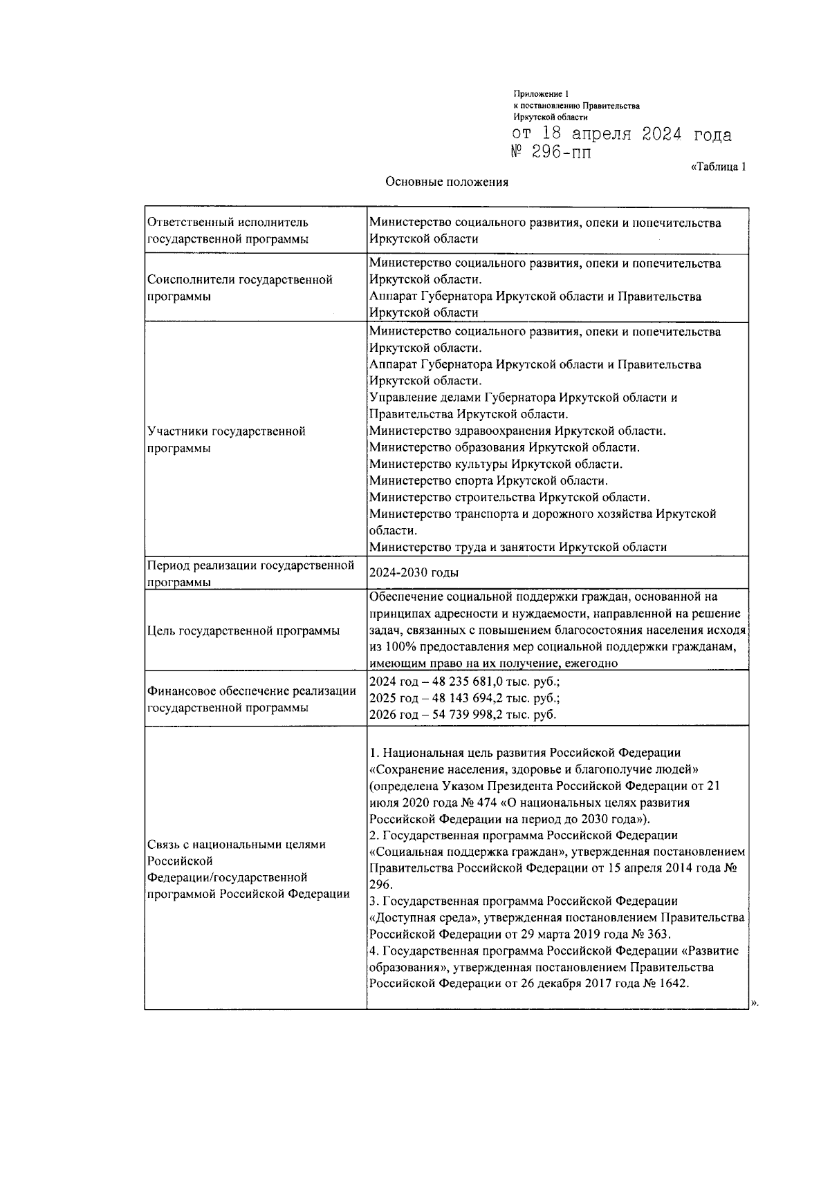
Постановление Правительства Иркутской области от 18.04.2024 № 296-пп
"О внесении изменений в таблицы 1, 2, 4 раздела II "ПАСПОРТ ГОСУДАРСТВЕННОЙ ПРОГРАММЫ ИРКУТСКОЙ ОБЛАСТИ "СОЦИАЛЬНАЯ ПОДДЕРЖКА НАСЕЛЕНИЯ" государственной программы Иркутской области "Социальная поддержка населения"
Номер опубликования: 3800202404220004
Дата опубликования: 22.04.2024
Страница №2 из 21:
Увеличить