Постановление Правительства Иркутской области от 12.04.2024 № 274-пп
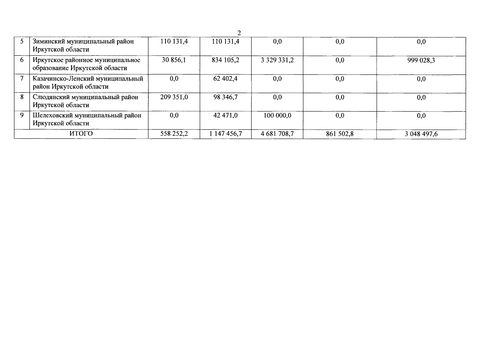
"О внесении изменения в распределение объемов субсидий на софинансирование капитальных вложений в объекты муниципальной собственности, которые осуществляются из местных бюджетов, в целях реализации мероприятий по строительству, реконструкции образовательных организаций на 2024 год и на плановый период 2025 и 2026 годов"
"О внесении изменения в распределение объемов субсидий на софинансирование капитальных вложений в объекты муниципальной собственности, которые осуществляются из местных бюджетов, в целях реализации мероприятий по строительству, реконструкции образовательных организаций на 2024 год и на плановый период 2025 и 2026 годов"
Номер опубликования: 3800202404160005
Дата опубликования:
16.04.2024
