Официальное опубликование правовых актов
ОФИЦИАЛЬНОЕ ОПУБЛИКОВАНИЕ
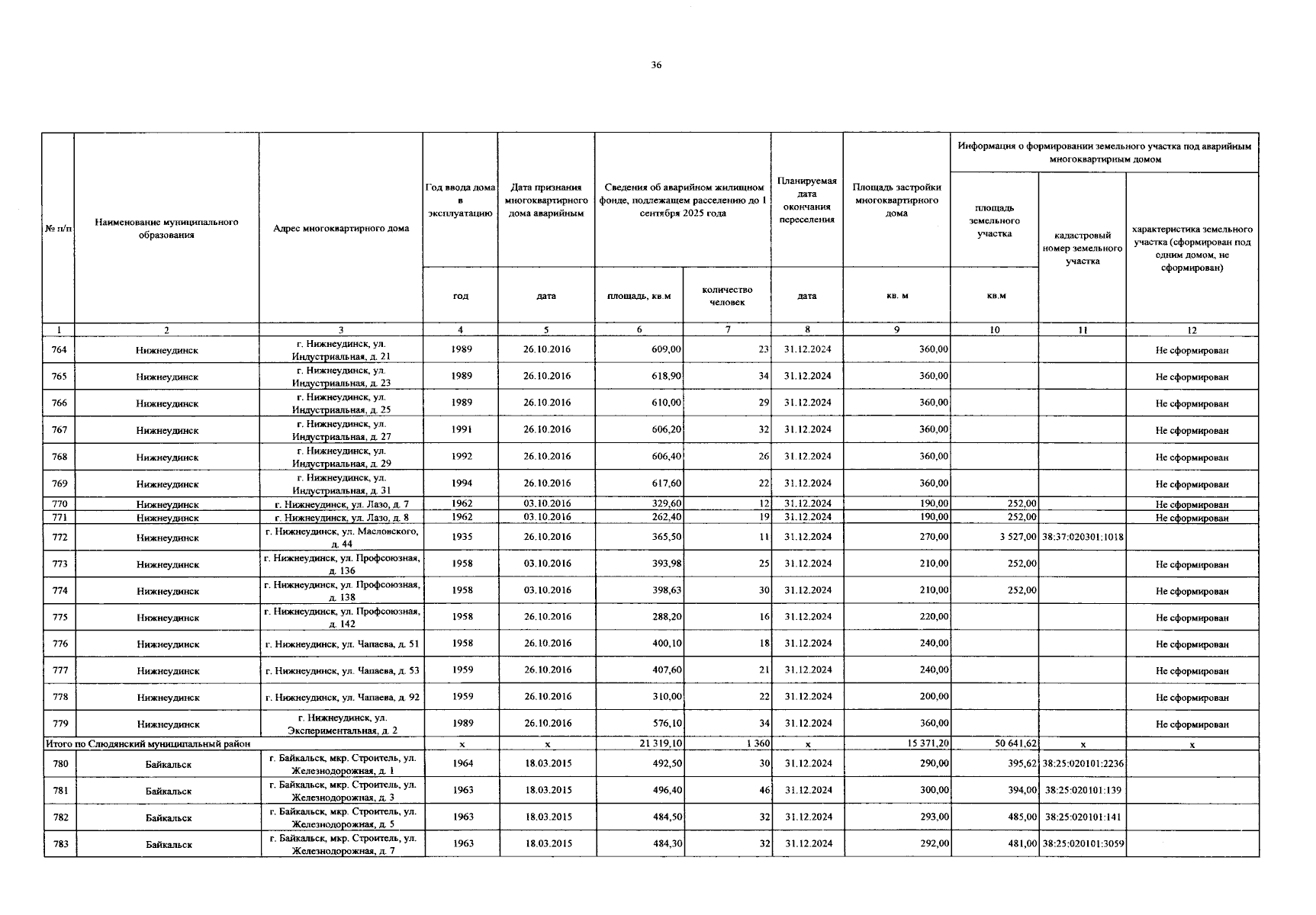
Постановление Правительства Иркутской области от 29.03.2024 № 233-пп
"О внесении изменения в региональную адресную программу Иркутской области «Переселение граждан, проживающих на территории Иркутской области, из аварийного жилищного фонда, признанного таковым до 1 января 2017 года, в 2019 - 2025 годах»"
Номер опубликования: 3800202404020007
Дата опубликования: 02.04.2024
Страница №54 из 85:
Увеличить