Официальное опубликование правовых актов
ОФИЦИАЛЬНОЕ ОПУБЛИКОВАНИЕ
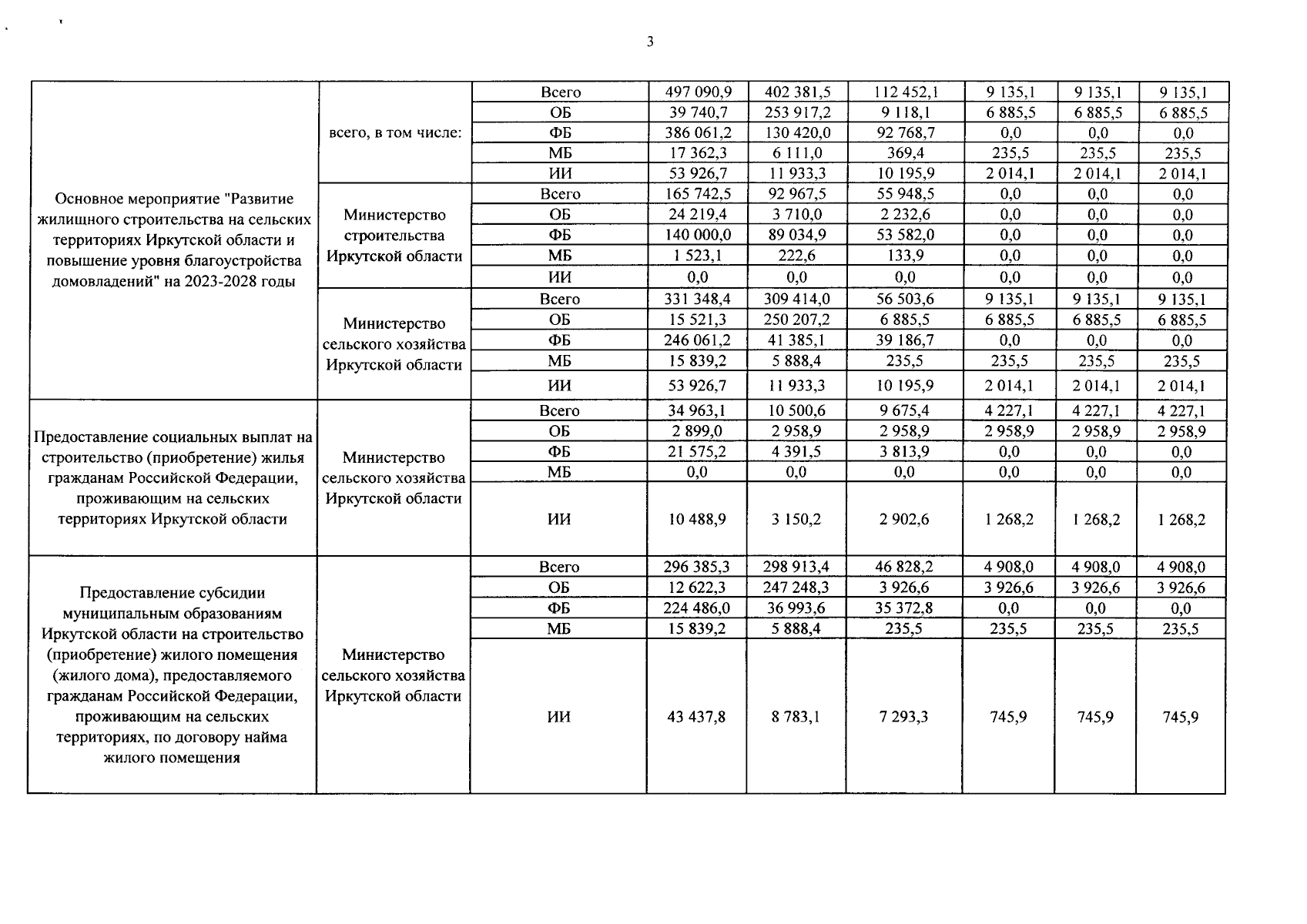
Постановление Правительства Иркутской области от 24.11.2023 № 1070-пп
"О внесении изменений в государственную программу Иркутской области "Комплексное развитие сельских территорий" на 2023 - 2028 годы"
Номер опубликования: 3800202311290014
Дата опубликования: 29.11.2023
Страница №24 из 28:
Увеличить