Официальное опубликование правовых актов
ОФИЦИАЛЬНОЕ ОПУБЛИКОВАНИЕ
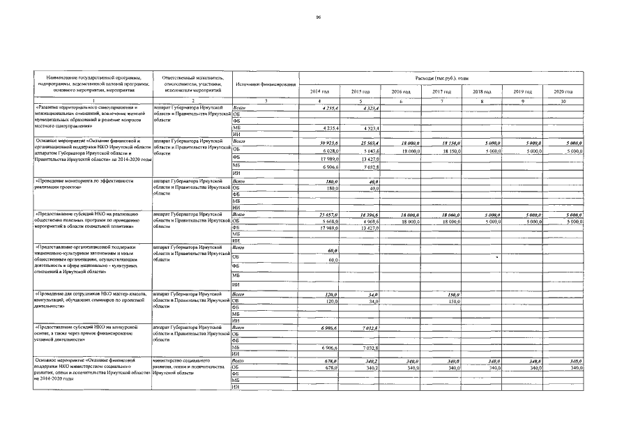
Постановление Правительства Иркутской области от 31.12.2017 № 909-пп
"О внесении изменений в государственную программу Иркутской области "Социальная поддержка населения" на 2014 - 2020 годы"
Номер опубликования: 3800201801090001
Дата опубликования: 09.01.2018
Страница №101 из 117:
Увеличить