Официальное опубликование правовых актов
ОФИЦИАЛЬНОЕ ОПУБЛИКОВАНИЕ
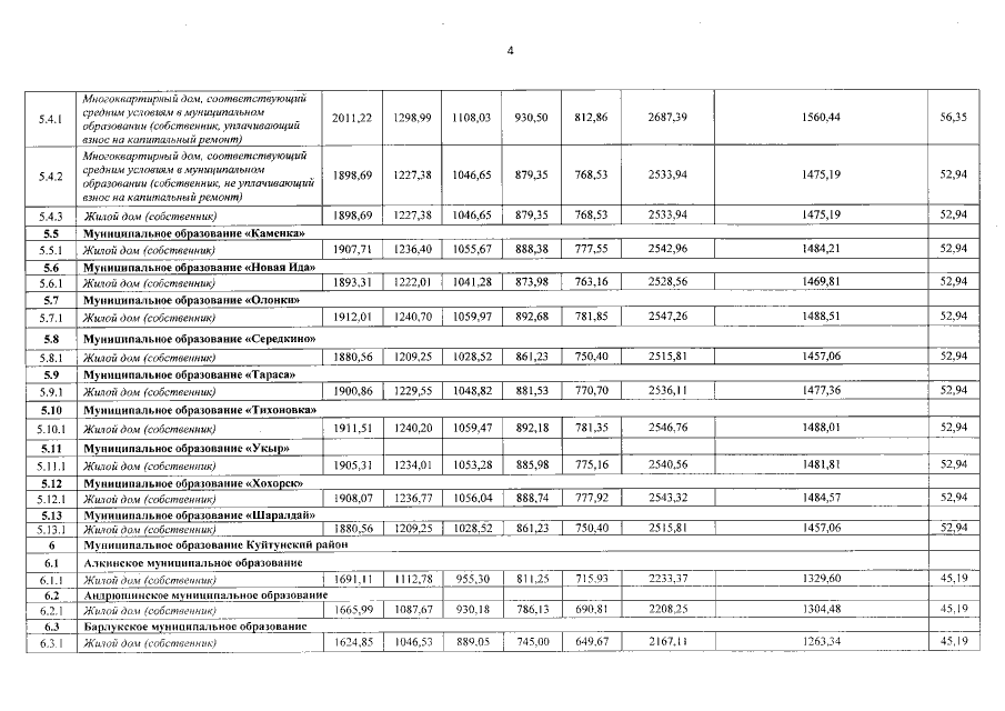
Постановление Правительства Иркутской области от 26.12.2017 № 874-пп
"О внесении изменений в размеры регионального стандарта стоимости жилищно-коммунальных услуг, дифференцированной по муниципальным образованиям Иркутской области, на 2017 год"
Номер опубликования: 3800201712280002
Дата опубликования: 28.12.2017
Страница №6 из 11:
Увеличить