Официальное опубликование правовых актов
ОФИЦИАЛЬНОЕ ОПУБЛИКОВАНИЕ
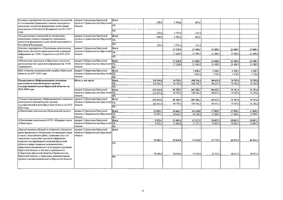
Постановление Правительства Иркутской области от 15.12.2017 № 839/1-пп
"О внесении изменения в государственную программу Иркутской области "Экономическое развитие и инновационная экономика" на 2015 - 2020 годы"
Номер опубликования: 3800201712250008
Дата опубликования: 25.12.2017
Страница №14 из 44:
Увеличить