Официальное опубликование правовых актов
ОФИЦИАЛЬНОЕ ОПУБЛИКОВАНИЕ
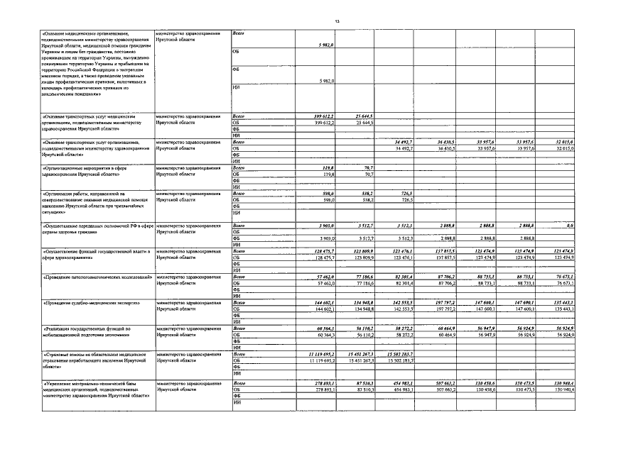
Постановление Правительства Иркутской области от 15.12.2017 № 840-пп
"О внесении изменений в государственную программу Иркутской области "Развитие здравоохранения" на 2014 - 2020 годы"
Номер опубликования: 3800201712210001
Дата опубликования: 21.12.2017
Страница №40 из 63:
Увеличить