Официальное опубликование правовых актов
ОФИЦИАЛЬНОЕ ОПУБЛИКОВАНИЕ
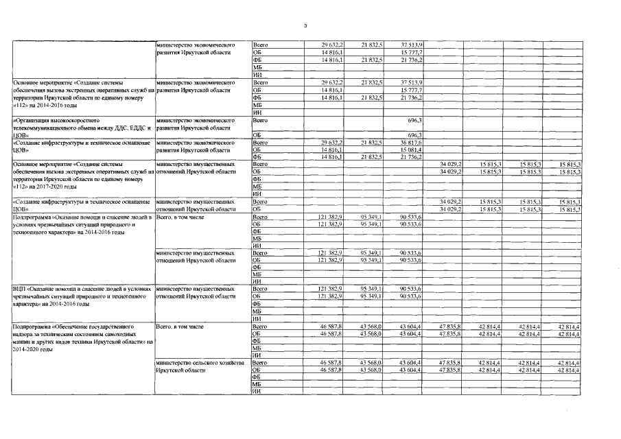
Постановление Правительства Иркутской области от 07.12.2017 № 803-пп
"О внесении изменений в государственную программу Иркутской области "Обеспечение комплексных мер противодействия чрезвычайным ситуациям природного и техногенного характера, построение и развитие аппаратно-программного комплекса "Безопасный город" на 2014-2020 годы"
Номер опубликования: 3800201712110010
Дата опубликования: 11.12.2017
Страница №47 из 68:
Увеличить