Официальное опубликование правовых актов
ОФИЦИАЛЬНОЕ ОПУБЛИКОВАНИЕ
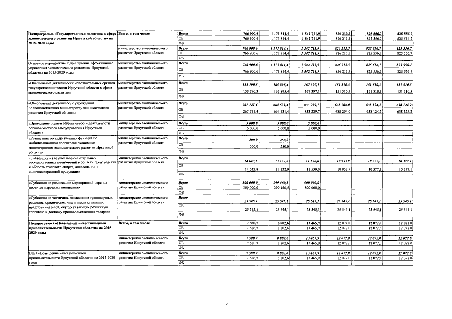
Постановление Правительства Иркутской области от 07.12.2017 № 800-пп
"О внесении изменений в государственную программу Иркутской области "Экономическое развитие и инновационная экономика" на 2015 - 2020 годы"
Номер опубликования: 3800201712080001
Дата опубликования: 08.12.2017
Страница №35 из 76:
Увеличить