Официальное опубликование правовых актов
ОФИЦИАЛЬНОЕ ОПУБЛИКОВАНИЕ
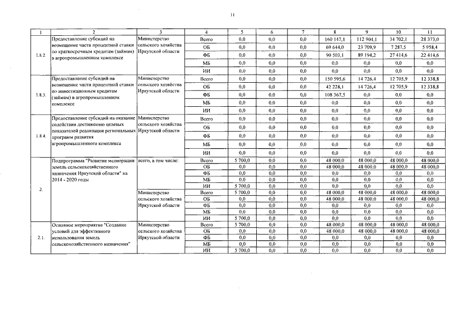
Постановление Правительства Иркутской области от 05.12.2017 № 795-пп
"О внесении изменений в государственную программу Иркутской области "Развитие сельского хозяйства и регулирование рынков сельскохозяйственной продукции, сырья и продовольствия" на 2014 – 2020 годы"
Номер опубликования: 3800201712070004
Дата опубликования: 07.12.2017
Страница №160 из 185:
Увеличить