Официальное опубликование правовых актов
ОФИЦИАЛЬНОЕ ОПУБЛИКОВАНИЕ
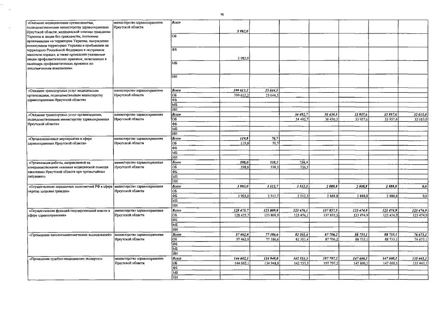
Постановление Правительства Иркутской области от 21.11.2017 № 761-пп
"О внесении изменений в государственную программу Иркутской области "Развитие здравоохранения" на 2014 - 2020 годы"
Номер опубликования: 3800201711270005
Дата опубликования: 27.11.2017
Страница №56 из 63:
Увеличить