Официальное опубликование правовых актов
ОФИЦИАЛЬНОЕ ОПУБЛИКОВАНИЕ
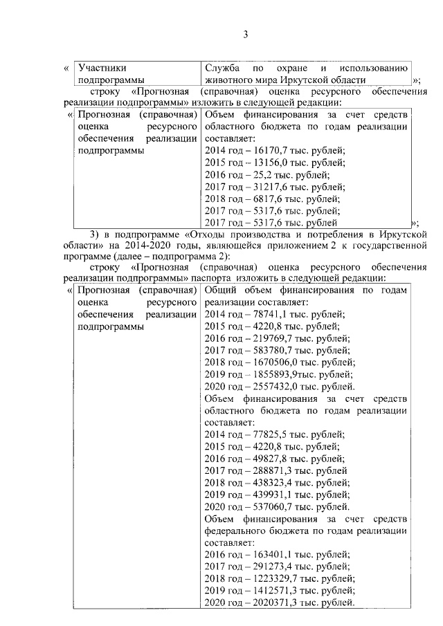
Постановление Правительства Иркутской области от 21.11.2017 № 759-пп
"О внесении изменений в государственную программу Иркутской области "Охрана окружающей среды" на 2014-2020 годы"
Номер опубликования: 3800201711220029
Дата опубликования: 22.11.2017
Страница №3 из 64:
Увеличить