Официальное опубликование правовых актов
ОФИЦИАЛЬНОЕ ОПУБЛИКОВАНИЕ
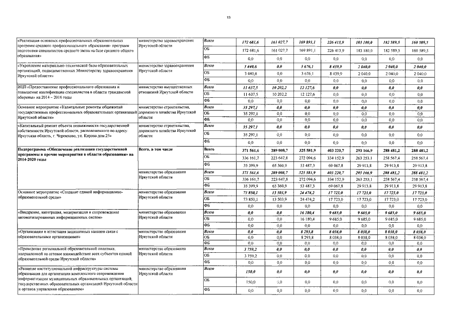
Постановление Правительства Иркутской области от 13.11.2017 № 730-пп
"О внесении изменений в государственную программу Иркутской области "Развитие образования" на 2014 - 2020 годы"
Номер опубликования: 3800201711220028
Дата опубликования: 22.11.2017
Страница №26 из 46:
Увеличить