Официальное опубликование правовых актов
ОФИЦИАЛЬНОЕ ОПУБЛИКОВАНИЕ
Постановление Правительства Иркутской области от 16.11.2017 № 746-пп
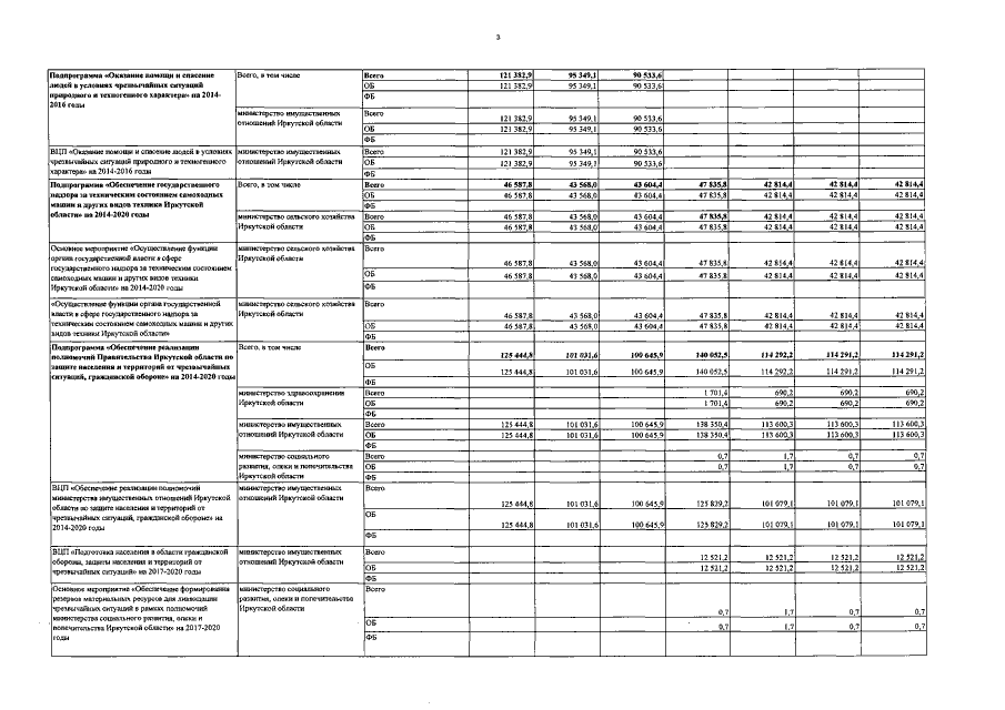
"О внесении изменений в государственную программу Иркутской области "Обеспечение комплексных мер противодействия чрезвычайным ситуациям природного и техногенного характера, построение и развитие аппаратно-программного комплекса "Безопасный город" на 2014-2020 годы"
Номер опубликования: 3800201711220027
Дата опубликования: 22.11.2017
Страница №30 из 76:
Увеличить