Официальное опубликование правовых актов
ОФИЦИАЛЬНОЕ ОПУБЛИКОВАНИЕ
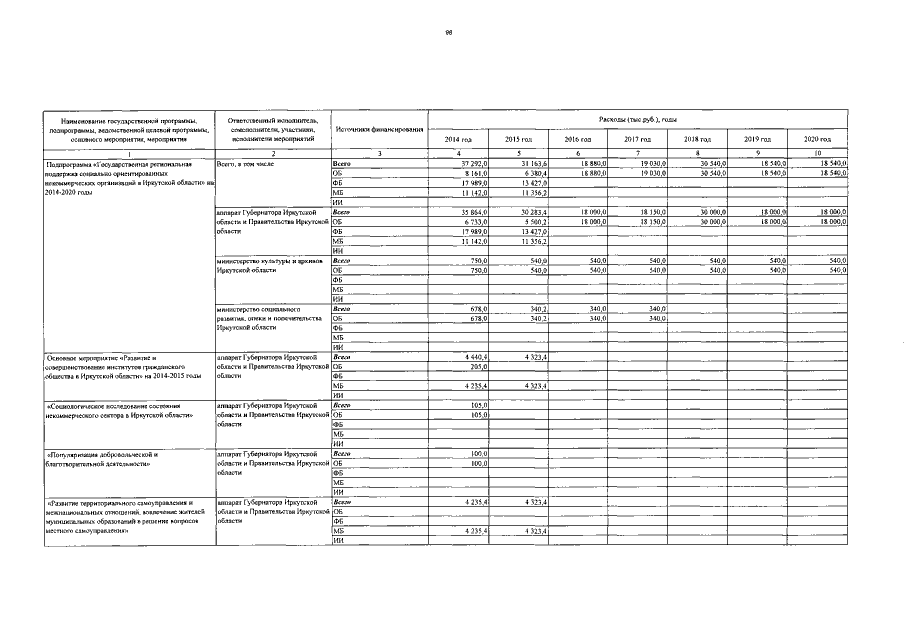
Постановление Правительства Иркутской области от 16.11.2017 № 747-пп
"О внесении изменений в государственную программу Иркутской области "Социальная поддержка населения" на 2014 - 2020 годы"
Номер опубликования: 3800201711220026
Дата опубликования: 22.11.2017
Страница №137 из 155:
Увеличить