Официальное опубликование правовых актов
ОФИЦИАЛЬНОЕ ОПУБЛИКОВАНИЕ
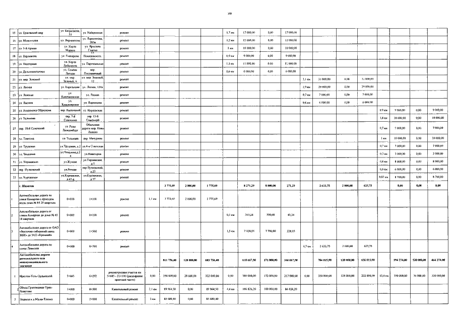
Постановление Правительства Иркутской области от 15.11.2017 № 739-пп
"О внесении изменений в постановление Правительства Иркутской области от 24 октября 2013 года № 445-пп"
Номер опубликования: 3800201711170017
Дата опубликования: 17.11.2017
Страница №157 из 226:
Увеличить