Официальное опубликование правовых актов
ОФИЦИАЛЬНОЕ ОПУБЛИКОВАНИЕ
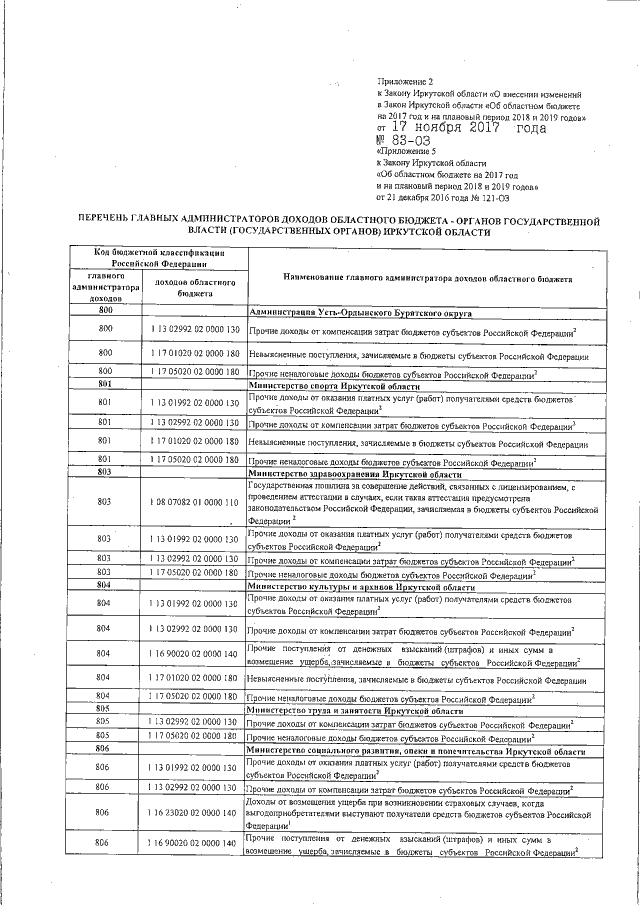
Закон Иркутской области от 17.11.2017 № 83-ОЗ
"О внесении изменений в Закон Иркутской области "Об областном бюджете на 2017 год и на плановый период 2018 и 2019 годов"
Номер опубликования: 3800201711170013
Дата опубликования: 17.11.2017
Страница №11 из 267:
Увеличить