Официальное опубликование правовых актов
ОФИЦИАЛЬНОЕ ОПУБЛИКОВАНИЕ
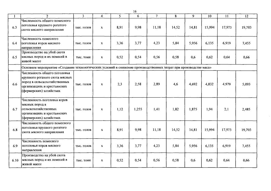
Постановление Правительства Иркутской области от 13.11.2017 № 732-пп
"О внесении изменений в государственную программу Иркутской области "Развитие сельского хозяйства и регулирование рынков сельскохозяйственной продукции, сырья и продовольствия" на 2014 – 2020 годы"
Номер опубликования: 3800201711170010
Дата опубликования: 17.11.2017
Страница №62 из 172:
Увеличить