Официальное опубликование правовых актов
ОФИЦИАЛЬНОЕ ОПУБЛИКОВАНИЕ
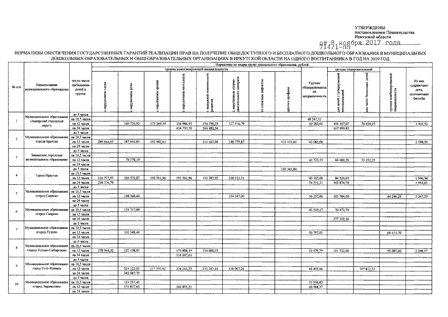
Постановление Правительства Иркутской области от 08.11.2017 № 714/1-пп
"О нормативах обеспечения государственных гарантий реализации прав на получение общедоступного и бесплатного дошкольного образования в муниципальных дошкольных образовательных и общеобразовательных организациях в Иркутской области, общедоступного и бесплатного начального общего, основного общего, среднего общего образования в муниципальных общеобразовательных организациях в Иркутской области, обеспечения дополнительного образования детей в муниципальных общеобразовательных организациях в Иркутской области"
Номер опубликования: 3800201711150017
Дата опубликования: 15.11.2017
Страница №7 из 20:
Увеличить