Официальное опубликование правовых актов
ОФИЦИАЛЬНОЕ ОПУБЛИКОВАНИЕ
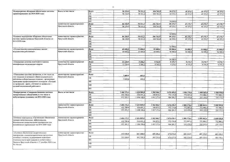
Постановление Правительства Иркутской области от 08.11.2017 № 713-пп
"О внесении изменений в государственную программу Иркутской области "Развитие здравоохранения" на 2014 – 2020 годы"
Номер опубликования: 3800201711150013
Дата опубликования: 15.11.2017
Страница №52 из 65:
Увеличить